Friday, January 23, 2015

Soal-Soal Relativitas

Penambahan Kecepatan

1. Sebuah kereta api bergerak dengan kecepatan 120 km/jam. Seekor burung yang hinggap di atas  kereta terbang dengan kecepatan 5 km/jam searah kereta tersebut.
Berapa kecepatan terbang burung tersebut tersebut berdasarkan seseorang yang berada di dalam kereta api dan berdasarkan orang yang sedang bangun di stasiun?

Pembahasan

 Sebuah kereta api bergerak dengan kecepatan  Soal-Soal Relativitas

a. Kecepatan burung relatif terhadap kereta api adalah  v'x = 5 km/jam
b. Kecepatan burung  relatif terhadap stasiun ialah
vx = v + v'x
    = 120 + 5 = 125km/jam

2. Sebuah pesawat luar angkasa bergerak dengan kecepatan 0,8c meninggalkan bumi. Dari pesawat tersebut ditembakkan peluru dengan kecepatan 0,4c. Tentukan kecepatan peluru berdasarkan pengamat di bumi jikalau arah peluru searah pesawat :
a.Menurut relativistik klasik
b.Menurut relativistik Einstein

Pembahasan

 Sebuah kereta api bergerak dengan kecepatan  Soal-Soal Relativitas

a. Menurut relativistik klasik
   vx = v’x + v = 0,8c + 0,4c = 1,2c

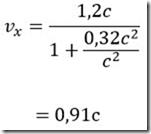
b. Menurut relativistik Einstein

 Sebuah kereta api bergerak dengan kecepatan  Soal-Soal Relativitas

 Sebuah kereta api bergerak dengan kecepatan  Soal-Soal Relativitas

 Sebuah kereta api bergerak dengan kecepatan  Soal-Soal Relativitas

Kontraksi Panjang

Sebuah pesawat yang membisu di bumi mempunyai panjang 100 m. Kemudian pesawat tersebut bergerak dengan kecepatan 0,6c. Berapa panjang pesawat tersebut berdasarkan pengamat di bumi sekarang?

 Sebuah kereta api bergerak dengan kecepatan  Soal-Soal Relativitas

L0 = 100 m
V = 0,5c
Panjang pesawat berdasarkan pengamat di bumi dirumuskan dengan

 Sebuah kereta api bergerak dengan kecepatan  Soal-Soal Relativitas

Dilasi Waktu

Sebuah pesawat ruang angkasa mengitari bumi dengan kecepatan 0,6c sambil memancarkan sinyal ke bumi. Sinyal diamati dari bumi mempunyai periode 12 menit. Tentukan periode sinyal sebenarnya?

Pembahasan

t = 12 menit, v = 0,8c
Periode sinyal sebetulnya ialah t0.

 Sebuah kereta api bergerak dengan kecepatan  Soal-Soal Relativitas

 Sebuah kereta api bergerak dengan kecepatan  Soal-Soal Relativitas

Massa dan Energi

Sebuah benda mempunyai massa membisu 12 kg. Jika benda tersebut bergerak dengan kecepatan 0,8c. Tentukan :
a. Massa bergeraknya
b. Energi membisu benda
c. Energi relativitas benda
d. Energi kinetik benda

Pembahasan

m0 = 2 kg
v = 0,8c

 Sebuah kereta api bergerak dengan kecepatan  Soal-Soal Relativitas


Sumber https://arsyadriyadi.blogspot.com/


EmoticonEmoticon