Try Out atau uji coba UN (Ujian Nasional) kembali dilaksanakan. Berikut ialah soal-soal try out UN untuk mata pelajaran IPA Sekolah Menengah Pertama beserta pembahasannya. Untuk postingan kali ini diberikan 18 soal dan pembahasan mengenai IPA Fisikanya.
1. Perhatikan gambar posisi beban geser pada neraca empat lengan ketika dipakai untuk menimbang batu.

Berdasarkan posisi beban geser tersebut, hasil penimbangannya adalah….
A. 23,6 gram
B. 180,0 gram
C. 182,4 gram
D. 183,6 gram
Pembahasan :
Berdasarkan posisi beban geser tersebut, maka hasil penimbangannya ialah
100 + 80 + 3 + 0,60 = 183,6 gram
Jawab : D
2. Perhatikan data berikut!
1) Letak partikel berdekatan
2) Gaya tarik partikel sangat kuat
3) Susunan partikel teratur
4) Susunan partikel tidak teratur
5) Gaya partikel sangat lemah
Sifat partikel zat padat ditunjukkan oleh nomor….
A. (1), (2), dan (3)
B. (1), (2), dan (4)
C. (2), (3), dan (5)
D. (3), (4), dan (5)
Pembahasan
Sifat partikel zat padat
1) Letak partikel berdekatan
2) Gaya tarik partikel sangat kuat
3) Susunan partikel teratur
Jawab : A
3. Empat orang siswa melaksanakan percobaan dengan hasil pengukurannya tampak pada tabel berikut!

Dari keempat benda tersebut yang mempunyai massa jenis 800 kg/m3, hasil pengukurannya dilakukan oleh siswa….
A. A dan B
B. C dan A
C. C dan D
D. D dan B
Pembahasan

A dan C benar
Jawab : B
4. Perhatikan tabel hasil kepustakaan sebagai berikut!

Berdasarkan tabel di atas, kalau keempat logam dipanaskan dalam selang waktu yang sama maka….
A. Perak akan memuai lebih cepat dibandingkan besi dan tembaga alasannya mempunyai koefisien muai besar
B. Perak akan memuai lebih lambat dibandingkan besi dan tembaga alasannya mempunyai koefisien muai besar
C. Alumunium akan memuai lebih lebih cepat dibandingkan besi dan tembaga alasannya mempunyai koefisien muai lebih besar
D. A dan C benar
Pembahasan.
Perhatikan besar koefisien muai panjang masing-masing logam.
Dari data terlihat bahwa urutan logam yang mempunyai koefisien muai panjang terbesar hingga terkecil berturut-turut alumunium, perak, tembaga dan besi. Sehingga kalau keempat logam tersebut dipanaskan maka, logam alumunium akan mengalami pemuaian paling besar gres kemudian perak, tembaga, dan alumunium.
Jawab : D
5. Perhatikan grafik berikut ini.

Hasil ketik ticker timer yang merujuk pada grafik tersebut ditunjukkan oleh….

Pembahasan
Grafik relasi v – t di atas merupakan grafik gerak lurus berubah beraturan (GLBB) dipercepat, yaitu gerak benda yang bergerak dalam lintasan lurus dengan kecepatan bertambah secara teratur (percepatan tetap).
Hasil rekaman ticker timer yang sesuai ialah A.
6. Tiga gaya yang masing-masing besarnya F1 = 22 N, F2 = 18 N, dan F3 = 40 N dikerjakan pada balok kayu. Gaya-gaya yang bekerja pada balok, yang memenuhi aturan I Newton ditunjukkan oleh gambar….
Pembahasan
Pada aturan I Newton atau aturan kelembaman berlaku :
∑F = 0 atau gaya total/resultan gaya = nol.
A. ∑F = F3 – F1 – F2 = 40 – 22 – 18 = 0
B. ∑F = F2 + F3 – F1 = 18 + 40 – 22 = 36 N
C. ∑F = F3 – F1 + F2 = 40 – 22 + 18 = 36 N
D. ∑F = F2 – F1 – F3 = 18 – 22 – 40 = - 44 N
Jawab. A
7. Perhatikan gambar!

Benda dengan massa 1,5 kg jatuh bebas dari posisi A. Maka energi potensial benda ketika menyentuh tanah di titik C adalah….
A. 60 J
B. 90 J
C. 100 J
D. 150 J
Pembahasan
Di posisi A :
EP = m. g. h = 1,5. 10 . (4 + 6) = 150 J
EK = 0
EM = EP + EK = 150 + 0 = 150 J
Pada ketika menyentuh tanah (titik C)
EM = EP + EK
150 = m.g.h + EK. Dengan ketinggian nol (h = 0) ketika menyentuh tanah maka EP nya juga nol, sehingga diperoleh
150 = EK
Atau EK ketika menyentuh tanah = 150 J
Jawab : D
8. Kegiatan berikut yang termasuk melaksanakan perjuangan dan tidak melaksanakan perjuangan adalah….

Pembahasan
Usaha = gaya x perpindahan
Dengan arah gaya searah dengan perpindahannya.
Jawab : A
9. Perhatikan gambar bidang miring berikut!

Gaya yang diharapkan untuk menarik balok tersebut adalah….
A. Dikurangi 95 N
B. Dikurangi 150 N
C. Ditambah 320 N
D. Ditambah 440 N
Pembahasan :
W . h = F . s
550 . 4 = F. 5,5
Atau dengan kata lain gaya yang diharapkan untuk menarik balok dibandingkan dengan beratnya mempunyai selisih 550 – 400 = 150 N (atau dikurangi 150 N).
Jawab : B
10. Seekor ikan berada pada kolam air menyerupai pada gambar.

Jika massa jenis air 1 g/cm3 dan percepatan gravitasi 10 m/s2, tekanan hidrostatis yang diterima ikan adalah….
A. 4.000 N/m2
B. 5.000 N/m2
C. 9.000 N/m2
D. 13.000 N/m2
Pembahasan
ρ = 1 g/cm3 = 1000 kg/m3
g = 10 m/s2
h = 90 cm – 40 cm =50 cm = 0,5 m
P = ρ . g . h = 1000.10.0,5 = 5000 N/m2
Jawab : B
11. Ciri-ciri benda langit dalam tabel berikut yang benar adalah…

Pembahasan
Asteroid atau planetoid planet-planet kecil yang bergerak mengelilingi matahari dengan lintasanya antara planet Mars dan Jupiter.
Bintang merupakan benda langit yang sanggup memancarkan cahayanya sendiri.
Komet (bintang berekor) merupakan benda langit yang mengelilingi matahari dengan lintasan yang sangat lonjong.
Meteorid ialah batuan-batuan kecil yang melayang-layang di angkasa. Meteor merupakan meteorid yang jatuh dan masuk ke atmosfer bumi dan habis terbakar sebelum hingga permukaan bumi.
Jawab : C
12. Perhatikan gambar berikut!

Besarnya amplitudo dan cepat rambat gelombang berturut-turut adalah….
A. 20 cm dan 5 cm/s
B. 20 cm dan 10 cm/s
C. 10 cm dan 5 cm/s
D. 10 cm dan 10 cm/s
Pembahasan
Amplitudo (A) = 10 cm

Jawab : C
Catatan :
Cepat rambat gelombang juga dirumuskan dengan

Dengan λ = panjang gelombang, T = periode, dan f = frekuensi.
13. Agus memukul kentongan di antara dua tembok yang berhadapan. Bunyi pantul dari tembok pertama terdengar 1,5 sekon setelah kentongan dipukul, disusul suara pantul dari dinding kedua 0,5 sekon setelah suara pantul pertama. Jika cepat rambat suara di udara 340 m/s, maka jarak di antara kedua tembok adalah….
A. 170 m
B. 340 m
C. 425 m
D. 595 m
Pembahasan :
Jarak antara dua tembok yang berhadapan sanggup dicari dengan menghitung pemantulan suara dari masing-masing tembok.
Jarak dua tembok = jarak pemantulan dari tembok 1 + jarak pemantulan dari tembok 2

t1 = 1,5 sekon dan t2 = 1,5 + 0,5 = 2 sekon, sehingga diperoleh

Jawab : D
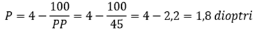
14. Seseorang sanggup membaca dengan terang pada jarak paling bersahabat 45 cm. Agar ia sanggup membaca paling terang pada jarak 25 cm, kekuatan lensa yang diharapkan adalah….
A. 1,2 dioptri
B. 1,5 dioptri
C. 1,8 dioptri
D. 2,0 dioptri
Pembahasan :
Diketahui :
s = - 45 cm
s’ = 25 cm

Atau
Dengan PP = 45 cm dan s = 25 cm berlaku rumus berikut.

Jawab : C
15. Perhatikan gambar interaksi bola konduktor bermuatan di bawah ini!

Jika bola konduktor P bermuatan positif, maka gaya interaksi yang terjadi, ketika bola P didekatkan bola S, dan bola R didekatkan bola Q berturut-turut adalah….
A. P – S tarik menarik dan R – Q tarik menarik
B. P – S tarik-menarik dan R – Q tolak menolak
C. P – S tolak menolak dan R – Q tarik menarik
D. P – S tolak menolak dan P – Q tarik menarik
Pembahasan :
P (+) dengan R tarik menarik maka R (-). P (+) dengan T tolak-menolak maka T juga bermuatan (+).
S tarik-menarik dengan R, sedangkan R bermuatan (-) maka S akan bermuatan (+). Q tolak-menolak dengan S yang bermuatan (+) maka Q juga bermuatan (+).
Dapat dituliskan :
P (+)
Q (+)
R (-)
S (+)
T (+)
Sehingga
P (+) dengan S (+) akan tolak-menolak
Dan R (-) dengan Q (+) akan tarik-menarik
Jawab : C
16. Perhatikan gambar rangkaian berikut!

Kuat arus yang mengalir melalui rangkaian listrik (I) adalah…..
A. 6,0 A
B. 4,0 A
C. 2,4 A
D. 2,0 A
Pembahasan

Jawab : C
17. Sebuah keluarga memakai energi listrik dalam sebulan (30 hari) untuk alat-alat menyerupai pada tabel berikut!

Dari tabel tersebut daya listrik masing-masing alat adalah….

Pembahasan
W = P x t
Energi yang dipakai = daya x waktu
Mesin basuh :
7,2 kWh = P x 2 x 30 jam
7200 Wh = 60 jam x P
P = 7200/60 = 120 W
Lampu pijar :
12 kWh = P x 8 x 30 jam
12000 Wh = 240 jam x P
P = 12000/240 = 50 W
TV :
72 kWh = P x 6 x 30 jam
72000 Wh = 180 jam x P
P = 72000/180 = 400 W
Jawab : A
18. Sebuah magnet jarum berada di antara dua buah magnet batang. Posisi magnet jarum yang benar ditunjukkan oleh gambar….

Pembahasan
Posisi magnet yang benar kutub-kutub yang berlawanan akan berdekatan. S – U – S – U – S – U atau U – S – U – S – U – S
Jawab : D
Demikianlah soal dan pembahasan Try Out 2 UN IPA Fisika SMP. Kalau ada soal atau pembahasan yang kurang memuaskan atau keliru mohon koreksinya. Sumber https://arsyadriyadi.blogspot.com/
1. Perhatikan gambar posisi beban geser pada neraca empat lengan ketika dipakai untuk menimbang batu.
Berdasarkan posisi beban geser tersebut, hasil penimbangannya adalah….
A. 23,6 gram
B. 180,0 gram
C. 182,4 gram
D. 183,6 gram
Pembahasan :
Berdasarkan posisi beban geser tersebut, maka hasil penimbangannya ialah
100 + 80 + 3 + 0,60 = 183,6 gram
Jawab : D
2. Perhatikan data berikut!
1) Letak partikel berdekatan
2) Gaya tarik partikel sangat kuat
3) Susunan partikel teratur
4) Susunan partikel tidak teratur
5) Gaya partikel sangat lemah
Sifat partikel zat padat ditunjukkan oleh nomor….
A. (1), (2), dan (3)
B. (1), (2), dan (4)
C. (2), (3), dan (5)
D. (3), (4), dan (5)
Pembahasan
Sifat partikel zat padat
1) Letak partikel berdekatan
2) Gaya tarik partikel sangat kuat
3) Susunan partikel teratur
Jawab : A
3. Empat orang siswa melaksanakan percobaan dengan hasil pengukurannya tampak pada tabel berikut!
Dari keempat benda tersebut yang mempunyai massa jenis 800 kg/m3, hasil pengukurannya dilakukan oleh siswa….
A. A dan B
B. C dan A
C. C dan D
D. D dan B
Pembahasan
A dan C benar
Jawab : B
4. Perhatikan tabel hasil kepustakaan sebagai berikut!
Berdasarkan tabel di atas, kalau keempat logam dipanaskan dalam selang waktu yang sama maka….
A. Perak akan memuai lebih cepat dibandingkan besi dan tembaga alasannya mempunyai koefisien muai besar
B. Perak akan memuai lebih lambat dibandingkan besi dan tembaga alasannya mempunyai koefisien muai besar
C. Alumunium akan memuai lebih lebih cepat dibandingkan besi dan tembaga alasannya mempunyai koefisien muai lebih besar
D. A dan C benar
Pembahasan.
Perhatikan besar koefisien muai panjang masing-masing logam.
Dari data terlihat bahwa urutan logam yang mempunyai koefisien muai panjang terbesar hingga terkecil berturut-turut alumunium, perak, tembaga dan besi. Sehingga kalau keempat logam tersebut dipanaskan maka, logam alumunium akan mengalami pemuaian paling besar gres kemudian perak, tembaga, dan alumunium.
Jawab : D
5. Perhatikan grafik berikut ini.
Hasil ketik ticker timer yang merujuk pada grafik tersebut ditunjukkan oleh….
Pembahasan
Grafik relasi v – t di atas merupakan grafik gerak lurus berubah beraturan (GLBB) dipercepat, yaitu gerak benda yang bergerak dalam lintasan lurus dengan kecepatan bertambah secara teratur (percepatan tetap).
Hasil rekaman ticker timer yang sesuai ialah A.
6. Tiga gaya yang masing-masing besarnya F1 = 22 N, F2 = 18 N, dan F3 = 40 N dikerjakan pada balok kayu. Gaya-gaya yang bekerja pada balok, yang memenuhi aturan I Newton ditunjukkan oleh gambar….
Pembahasan
Pada aturan I Newton atau aturan kelembaman berlaku :
∑F = 0 atau gaya total/resultan gaya = nol.
A. ∑F = F3 – F1 – F2 = 40 – 22 – 18 = 0
B. ∑F = F2 + F3 – F1 = 18 + 40 – 22 = 36 N
C. ∑F = F3 – F1 + F2 = 40 – 22 + 18 = 36 N
D. ∑F = F2 – F1 – F3 = 18 – 22 – 40 = - 44 N
Jawab. A
7. Perhatikan gambar!
Benda dengan massa 1,5 kg jatuh bebas dari posisi A. Maka energi potensial benda ketika menyentuh tanah di titik C adalah….
A. 60 J
B. 90 J
C. 100 J
D. 150 J
Pembahasan
Di posisi A :
EP = m. g. h = 1,5. 10 . (4 + 6) = 150 J
EK = 0
EM = EP + EK = 150 + 0 = 150 J
Pada ketika menyentuh tanah (titik C)
EM = EP + EK
150 = m.g.h + EK. Dengan ketinggian nol (h = 0) ketika menyentuh tanah maka EP nya juga nol, sehingga diperoleh
150 = EK
Atau EK ketika menyentuh tanah = 150 J
Jawab : D
8. Kegiatan berikut yang termasuk melaksanakan perjuangan dan tidak melaksanakan perjuangan adalah….
Pembahasan
Usaha = gaya x perpindahan
Dengan arah gaya searah dengan perpindahannya.
Jawab : A
9. Perhatikan gambar bidang miring berikut!
Gaya yang diharapkan untuk menarik balok tersebut adalah….
A. Dikurangi 95 N
B. Dikurangi 150 N
C. Ditambah 320 N
D. Ditambah 440 N
Pembahasan :
W . h = F . s
550 . 4 = F. 5,5
Atau dengan kata lain gaya yang diharapkan untuk menarik balok dibandingkan dengan beratnya mempunyai selisih 550 – 400 = 150 N (atau dikurangi 150 N).
Jawab : B
10. Seekor ikan berada pada kolam air menyerupai pada gambar.
Jika massa jenis air 1 g/cm3 dan percepatan gravitasi 10 m/s2, tekanan hidrostatis yang diterima ikan adalah….
A. 4.000 N/m2
B. 5.000 N/m2
C. 9.000 N/m2
D. 13.000 N/m2
Pembahasan
ρ = 1 g/cm3 = 1000 kg/m3
g = 10 m/s2
h = 90 cm – 40 cm =50 cm = 0,5 m
P = ρ . g . h = 1000.10.0,5 = 5000 N/m2
Jawab : B
11. Ciri-ciri benda langit dalam tabel berikut yang benar adalah…
Pembahasan
Asteroid atau planetoid planet-planet kecil yang bergerak mengelilingi matahari dengan lintasanya antara planet Mars dan Jupiter.
Bintang merupakan benda langit yang sanggup memancarkan cahayanya sendiri.
Komet (bintang berekor) merupakan benda langit yang mengelilingi matahari dengan lintasan yang sangat lonjong.
Meteorid ialah batuan-batuan kecil yang melayang-layang di angkasa. Meteor merupakan meteorid yang jatuh dan masuk ke atmosfer bumi dan habis terbakar sebelum hingga permukaan bumi.
Jawab : C
12. Perhatikan gambar berikut!
Besarnya amplitudo dan cepat rambat gelombang berturut-turut adalah….
A. 20 cm dan 5 cm/s
B. 20 cm dan 10 cm/s
C. 10 cm dan 5 cm/s
D. 10 cm dan 10 cm/s
Pembahasan
Amplitudo (A) = 10 cm
Jawab : C
Catatan :
Cepat rambat gelombang juga dirumuskan dengan
Dengan λ = panjang gelombang, T = periode, dan f = frekuensi.
13. Agus memukul kentongan di antara dua tembok yang berhadapan. Bunyi pantul dari tembok pertama terdengar 1,5 sekon setelah kentongan dipukul, disusul suara pantul dari dinding kedua 0,5 sekon setelah suara pantul pertama. Jika cepat rambat suara di udara 340 m/s, maka jarak di antara kedua tembok adalah….
A. 170 m
B. 340 m
C. 425 m
D. 595 m
Pembahasan :
Jarak antara dua tembok yang berhadapan sanggup dicari dengan menghitung pemantulan suara dari masing-masing tembok.
Jarak dua tembok = jarak pemantulan dari tembok 1 + jarak pemantulan dari tembok 2
t1 = 1,5 sekon dan t2 = 1,5 + 0,5 = 2 sekon, sehingga diperoleh
Jawab : D
14. Seseorang sanggup membaca dengan terang pada jarak paling bersahabat 45 cm. Agar ia sanggup membaca paling terang pada jarak 25 cm, kekuatan lensa yang diharapkan adalah….
A. 1,2 dioptri
B. 1,5 dioptri
C. 1,8 dioptri
D. 2,0 dioptri
Pembahasan :
Diketahui :
s = - 45 cm
s’ = 25 cm
Atau
Dengan PP = 45 cm dan s = 25 cm berlaku rumus berikut.
Jawab : C
15. Perhatikan gambar interaksi bola konduktor bermuatan di bawah ini!
Jika bola konduktor P bermuatan positif, maka gaya interaksi yang terjadi, ketika bola P didekatkan bola S, dan bola R didekatkan bola Q berturut-turut adalah….
A. P – S tarik menarik dan R – Q tarik menarik
B. P – S tarik-menarik dan R – Q tolak menolak
C. P – S tolak menolak dan R – Q tarik menarik
D. P – S tolak menolak dan P – Q tarik menarik
Pembahasan :
P (+) dengan R tarik menarik maka R (-). P (+) dengan T tolak-menolak maka T juga bermuatan (+).
S tarik-menarik dengan R, sedangkan R bermuatan (-) maka S akan bermuatan (+). Q tolak-menolak dengan S yang bermuatan (+) maka Q juga bermuatan (+).
Dapat dituliskan :
P (+)
Q (+)
R (-)
S (+)
T (+)
Sehingga
P (+) dengan S (+) akan tolak-menolak
Dan R (-) dengan Q (+) akan tarik-menarik
Jawab : C
16. Perhatikan gambar rangkaian berikut!
Kuat arus yang mengalir melalui rangkaian listrik (I) adalah…..
A. 6,0 A
B. 4,0 A
C. 2,4 A
D. 2,0 A
Pembahasan
Jawab : C
17. Sebuah keluarga memakai energi listrik dalam sebulan (30 hari) untuk alat-alat menyerupai pada tabel berikut!
Dari tabel tersebut daya listrik masing-masing alat adalah….
Pembahasan
W = P x t
Energi yang dipakai = daya x waktu
Mesin basuh :
7,2 kWh = P x 2 x 30 jam
7200 Wh = 60 jam x P
P = 7200/60 = 120 W
Lampu pijar :
12 kWh = P x 8 x 30 jam
12000 Wh = 240 jam x P
P = 12000/240 = 50 W
TV :
72 kWh = P x 6 x 30 jam
72000 Wh = 180 jam x P
P = 72000/180 = 400 W
Jawab : A
18. Sebuah magnet jarum berada di antara dua buah magnet batang. Posisi magnet jarum yang benar ditunjukkan oleh gambar….
Pembahasan
Posisi magnet yang benar kutub-kutub yang berlawanan akan berdekatan. S – U – S – U – S – U atau U – S – U – S – U – S
Jawab : D
Demikianlah soal dan pembahasan Try Out 2 UN IPA Fisika SMP. Kalau ada soal atau pembahasan yang kurang memuaskan atau keliru mohon koreksinya. Sumber https://arsyadriyadi.blogspot.com/
EmoticonEmoticon